
Decoupling structural molecular dynamics from excited state lifetimes using few-femtosecond ultraviolet resonant dispersive waves
- Sebastian L. Jackson, Andrew W. Prentice, Lauren Bertram, Lewis Hutton, Nikoleta Kotsina, Christian Brahms, Chris Sparling, John C. Travers, Adam Kirrander, Martin J. Paterson and Dave Townsend
- Publication
- November 13, 2025
Abstract:
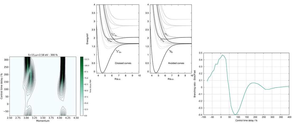
Optical sources exploiting resonant dispersive wave (RDW) emission are set to revolutionize ultrafast science. We demonstrate this approach by investigating excited state dynamics in morpholine using time-resolved photoelectron imaging. Excitation at 250 nm was achieved via RDW emission inside a helium-filled capillary fibre which, when combined with a short 800 nm probe, realized an instrument response of just 11 ± 2 fs. Two pathways initiate N–H bond fission: an extremely fast (<10 fs) process and a frustrated mechanism (380 fs) with hindered electronic ground state access. Photoelectron angular distributions also indicate average molecular geometry evolving on an intermediate (~100 fs) timescale. This clean distinction between population lifetimes and structural dynamics is enabled by the excellent temporal resolution inherent in RDW-based sources. Electronic structure and nonadiabatic surface hopping calculations support our data interpretation, and the synergy between experiment and theory is vital for developing a complete mechanistic picture.
Additional Resources
DOI:
Quick Ref:
Nat. Commun., 2025, 16, 9986


