
The strong-field control of IBr photodissociation re-visited
- Cristina Sanz-Sanz and Graham A. Worth
- Publication
- July 17, 2025
Abstract:
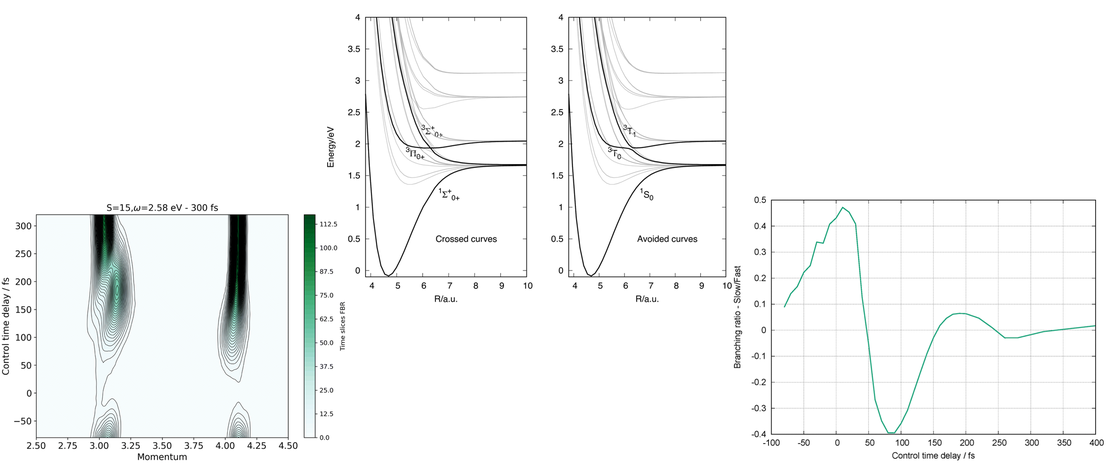
The photodissociation of IBr is a paradigm for a process that can be controlled by a strong, nonresonant electric field, known as the non-resonant dynamic stark effect (NRDSE). As shown by B. J. Sussman et al., Science, 2006, 314, 278, a carefully timed intense infra-red pulse can enhance or reduce the flux into the different dissociation channels. This was supported by quantum dynamics simulations using a 3-state model of IBr, but these were unable to reproduce the experimental timescales. In this paper, we revisit this pump-control scenario using quantum dynamics simulations including all 36-states of IBr in a coupled manifold, with potentials and couplings depending on the applied field strength, i.e. including the light-molecule interaction to all orders. The results reproduce the features of the experimental control, with a better fit to the time-scale than previous simulations. The mechanism by which the control operates is then found be a combination of excited-state excitation and modulation of the avoided crossing on the dissociation pathway.
Additional Resources
DOI:
Quick Ref:
Phys. Chem. Chem. Phys., 2025, 27, 16428